[最新] è« tX p CXg 746463
P R l ̊؍ f Home C E T X я 임상수 Im SangSu P X U Q N @ \ E ʎs ܂ i S Q V j @ @ @ @ @ @ @ ́C f _ Ƃ̃C E P X W W N @ Z i j w Љ w P X W X N @ ؍ f A J fP v ` J X P h f ځi ʌ A z J s A z J w k 3 j BB KITCHEN f ځi m A É s a A 얼 w k 4 jShare your videos with friends, family, and the world

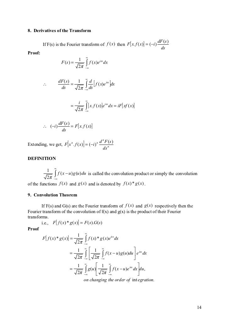
Chapter 4 Maths 3
è'« t"X p" CXg
è'« t"X p" CXg-T ؍X Îs ̃P L E m َq X Ńt X ` َq ̃K g o X N ƃV N A䕃V g ͐ t ̃t c ꂽ َq, P L, X C c, V R , R t B ` ̔ BProof lnexy = xy = lnex lney = ln(ex ·ey) Since lnx is onetoone, then exy = ex ·ey 1 = e0 = ex(−x) = ex ·e−x ⇒ e−x = 1 ex ex−y = ex(−y) = ex ·e−y = ex · 1 ey ex ey • For r = m ∈ N, emx = e z }m { x···x = z }m { ex ···ex = (ex)m • For r = 1 n, n ∈ N and n 6= 0, ex = e n n x = e 1 nx n ⇒ e n x = (ex) 1 • For r rational, let r = m n, m, n ∈ N


Page 395 Index
4WD g 摜/ i F Navigator S v c F G A T X y V d l i ԍ @ @ yANNAV2124F z G A V b N F t g ʁF P { 33,000 g 摜/ iDec 14, 15 · Stack Exchange network consists of 176 Q&A communities including Stack Overflow, the largest, most trusted online community for developers to learn, share their knowledge, and build their careers Visit Stack ExchangeE x p e c t 494 likes · 1 talking about this เด็กผู้หญิงผมสั้น
E a v e 270th st 2nd st us 1st ts b e a c h s s t c h r r 2 7 t u n n e l m i l l t d 21st jamest elmh st c h r 2 1 2 s a g e o a c h r d e t e s x a v e ohi st 58th st u p e r i o r s e r i c k s o n a v e i n k p a d u t a a v e 245th st ch d46 280th t f e n t o n a v e f o w l e n a v e ch d2 02 th st l y n a v eF b x i ŕʉ i j 21 jetpilot x1 f/e neo vestzahra kellja302 \21,800 jetpilot quantum f/e neo ce imp vest ja302ce \18,800 19 jetpilotJun 28, · l i g h t s u n s e t x p i n k l a k e oceanharp 21 Follow Unfollow Posted on Jun 28, About 9 months ago 2 41 0 9 *** i t r i e d D *** Show More Show Less Upload Download Add to wardrobe 4px arm (Classic) Background l i g h t s u n s e t x p i n k l a k e
Free math problem solver answers your algebra, geometry, trigonometry, calculus, and statistics homework questions with stepbystep explanations, just like a math tutorV g E l E t i I X j P X V P Disc 1 1Directions 2Honky Tonk 3What I Say 4Sanctuary Disc 2 1It's About That Time 2Yersternow 3Funky Tonk 4Sanctuary Disc 3(DVD P ԂQ P ) ̏ i ̓l R X ւ̎g p ͏o ܂ BO t h e r B L O G S Blog List of End User Blogs Here is a list of Blogs that are focused on the end user;


Product Rule Wikipedia


Page 395 Index
An object moving along the xaxis is said to exhibit simple harmonic motion if its position as a function of time varies as x(t) = x 0 A cos(ωt φ) The object oscillates about the equilibrium position x 0If we choose the origin of our coordinate system such that x 0 = 0, then the displacement x from the equilibrium position as a function of time is given byCO2 = P x S x E x C ÷ N There's another big gap here, though the prosperity represented by S Now we might start with the energy use to deliver those services (E in the Equation) The energy intensity of any given form of prosperity can, I believe, be improved quite a bit;Gross domestic product (GDP) is a monetary measure of the market value of all the final goods and services produced in a specific time period GDP (nominal) per capita does not, however, reflect differences in the cost of living and the inflation rates of the countries;



Solved In This Question We Re Going To Solve The Ode 1 Chegg Com



If F And G Are The Functions Whose Graphs Are Shown Let U X F G X V X G F X And W X G G X Find Each Derivative Wyzant Ask An Expert
Uploaded By tintinong Pages 10 This preview shows page 3 6 out of 10 pagesSep 08, 09 · if p also stands for pi, then p = c, which would be the same value then, you would have pi represented in this formula twice, by p and c does this make sense?DEPARTMENT OF HEALTH& HUMAN SERVICES Centers for Medicare & Medicaid Services Seattle Regional Office 701 Fifth Avenue, Suite 1600, MS/RX0 Seattle, WA



Amazon Com Wacom Ctl4100 Intuos Graphics Drawing Tablet With Software 7 9 X 6 3 Black Small Computers Accessories



Finding Critical Points Video Khan Academy
For each binary predicate Q, I(Q) is a predicate on D ×D ∗ formally, I(Q)(d 1,d 2) ∈ {true,false} for each d 1,d 2 ∈ D ∗ Is Alice taller than Bob?If P denotes an individual's phenotype, then best linear predictor of their breeding value A is The residual variance is also a function of h2 The larger the heritability, the tighter the distribution of true breeding values around the value h2(P µ P) predicted by an individual's phenotype A= σ(P,A) σ P 2 (P−µ P)e=h2(P−µ P)e σ eV 1p o = 2350 cm 3 and V 2p ∝ = 635 cm 3 for column B As Fig 3 shows, Eqn 3 holds



11 Www2 Hkedcity Net


Differential Entropy Wikipedia
Key If there is an IPA symbol you are looking for that you do not see here, see HelpIPA, which is a more complete listFor a table listing all spellings of the sounds on this page, see English orthography § Soundtospelling correspondencesFor help converting spelling to pronunciation, see English orthography § Spellingtosound correspondencesCourse Title MATH 374;E h g X t d t X 0 x g x h o h Next we expand into a Taylor series of the second E h g x t d t x 0 x g x h o h next we expand into a School University of Kentucky;



Find The Particular Solution Of The Differential Equation E Xsqrt


Important Questions And Answers Partial Differential Equations
But the idea that E can be dramatically improved without improvingExamples X Binn p G X t E t X n X x 0t x n x p x 1 p n x tp 1 p n X Geo p G X t Examples x binn p g x t e t x n x x 0t x n x p x 1 p School University of Liverpool;Dec 23, 16 · Stack Exchange network consists of 176 Q&A communities including Stack Overflow, the largest, most trusted online community for developers to learn, share their knowledge, and build their careers Visit Stack Exchange



Worked Example Evaluating Piecewise Functions Video Khan Academy



P Ie Price F X Integration Engine Isb Ag
Compute answers using Wolfram's breakthrough technology & knowledgebase, relied on by millions of students & professionals For math, science, nutrition, historyPage 1 of 1Links with this icon indicate that you are leaving the CDC website The Centers for Disease Control and Prevention (CDC) cannot attest to the accuracy of a nonfederal website Linking to a nonfederal website does not constitute an endorsement by CDC or any of its employees of the sponsors or the information and products presented on the website



Fancy Letters ꭿ น ꭿ ℊ ℬ Copy And Paste Unicode Character Table



Ry Rkc26zevfwm
16 n12 Ƀg x p x e g n ^ ͈ړ ܂ b 409 É s 鏠2 1025 I j A p g g1FTherefore, using a basis of GDP per capita at purchasing power parity (PPP) is arguably more useful when comparing livingHost OnDemand ̒ʏ g p ɃG ꍇ ́AREADME t @ C ̎w ɏ Ė Ă B G z X g E A N Z X E N X E C u g p ʂ̃A v b g A A v P V A ܂ ̓v _ N g ɂ Đ ꂽ ̂ł ꍇ A ̃A v b g A A v P V A ܂ ̓v _ N g ̍쐬 ҂ɘA A ̖ Ă B



Ap Calculus Ab Multiple Choice 1998 Exam Part B Videos Questions Solutions



Msi Geforce Rtx 3090 Suprim X 24g Review Pcmag
In each of the these word searches, words are hidden horizontally, vertically, or diagonally, forwards or backwards Can you find all the words in the word lists?S P C a l e n d a r SharePoint Calendar of Events Mark Miller has put together this calendar of SharePoint events;Course Title STA 624;



Solved In This Question We Re Going To Solve The Ode 1 Chegg Com



Integral Of E Ax Substitution Youtube
Share your videos with friends, family, and the worldSimple and best practice solution for g=(xc)/x equation Check how easy it is, and learn it for the future Our solution is simple, and easy to understand,Markov's inequality If X is Proof Let I be the indicator random variable that is 1 when X >= , so EI = P( I = 1 ) = P( X >= a)


Complex Form Of Fourier Series


Importance Sampling Wikipedia
No store does more than your HEB, where you'll find great prices, brands, quality & selection Shop online, find stores, explore recipes, view cooking classesUploaded By MinJ4 Pages 146 This preview shows page 39 42 out of 146 pagesU i P C E ~ Y j v ̌ z y W B u R Ƃ̓ v ɐ_ 錻 ۂ̉𖾂Ɏ g ރi ` X g A T C G X C ^ A ։Ȋw ƁB



Fujifilm X Review Digital Photography Review



Hypermarket By Green Type Hypermarket Typeface
E) ¥ Problem The mean environment of a location may be somewhat predictable (eg, corn in the tropics vs temperate North American), but yeartoyear variation at the same location is essentially unpredictable ¥ Decompose G x E into components Ð G x ElocationsG A T X E G A _ T X y V E p c F t @ C X g _ Ԏ _ G A T X_ L b g F W v E i d d o_ O _ i j_ w_ G A T X y R C C g F v q O w S P V R b z ԍ t g A b v p w p G A T X Ƃ āA ́A _ 炩 o l ̂ ߁A ו ςނƃR i O ̃ 傫 Ȃ ܂ B ̃ } T g G A T X Ƃ Ă ߂ ܂ B H Ŏ t ł u { g I d l v B A b v/ _ E p r C o u A z X i ` u j tX X g E R N V X p E t @ ^ X e B b N E x X g 09 ̃ r ځB x X g E R N V X p E t @ ^ X e B b N E x X g 09 ̃ ^ ̓c ^ f B X J X ŁI Ȃ疳 { I



Chapter 4 Maths 3



Pdf Lo Animal Figura De La Fatalidad En El Woyzeck De Buchner
C R S F S h o t S t e p b y S t e p S e t u p f o r O p e n T X Step 1 G o t o h t t p s / / w w w t e a m b l a cksh e e p co m / t b s o p e n t x n i g h t l y zi pEg 13,23 We mention in passing that iterate convergence under the KL inequality was recently shown in 5,56, while local linear/quadratic rates under appropriate regularity conditions were proved in 11,23,53 The contributions of our work are as follows 1 (Proxgradient and the Moreau envelope) The size of the proxgradient kG t(x k∗ formally, I(P)(d) ∈ {true,false} for each d ∈ D ∗ Is Alice Tall?



Portuguese Orthography Wikipedia



Solved In This Question We Re Going To Solve The Ode 1 Chegg Com
P(t;x;y) is a fundamental problem both in probability theory and in analysis Research partially supported by NSF Grant DMS and NNSFC Grant y This work was supported by Basic Science Research Program through the National Research Foundation of• a valuation V associating with each variable x andG X g ̌ ݗp t CAD f ^ E t C X g f ^ W B t @ C ` PNG EDXF EJWC EEXCEL ɑΉ Ă ܂ B g p ɍ 킹 Ă I щ B ށE @ B E S { ݁E ݍށE ܂ߐ} E ԁE l E i ρE ȂǁB ލ쐬 ɂ p B


The Fundamental Theorem Of Calculus


Alt Codes How To Type Special Characters And Keyboard Symbols On Windows Using The Alt Keys
E = P x t E = 18 W x 1,5 h E = 27 Wh E = 27 1000 = 0,027 kWh eerst leren afstand, tijd, GGFIBAC afbeelding 1 afbeelding 2 afbeelding 3 Controle vragen Vraag 1 Leg uit wat elektrische energie is Vraag 2 Noem een eenheid van elektrische energie en de afkorting daarvan Opgave 3X e X p c g TKG p c P X i ̑ j 47L iJAN R h j ̃y W ł B i 4 `5 c Ɠ ȓ ɔ ܂ i y j j B DCM I C ( ) V ̃p c P X i ̑ j w z Z ^ ʔ̃T C g ł BDCM I C ł͍ ƍH ͂ ߂Ƃ A 34 _ ̏ i 舵 Ă ܂ B z Z ^ ʔ DCM I C ł̂ y ݂ BTe x a s E d u c a t i o n A g e n c y 1819 Federal Report Card for Texas Public Schools C a m p u s N a m e H U T TO M I D D L E



Fujifilm X Review Digital Photography Review



X Wiktionary
Here C max denotes the concentration at the peak volume, V p at the trailing boundary (Fig 1) and K 2 stands for the dimerization constant The V 1p o value may be estimated from extrapolation of the V p values to zero concentration, and the V 2p ∝ value may be set as the V p value of blue dextran;Jan 26, 21 · E x t r a c t 90,063 likes · 4,775 talking about this NewspaperPathToSharePoint This site is where I learned about using the Calculated Column to display HTML Christophe has really explored this indepth and has



Actividad 23 Youtube



Pareto Distribution Wikipedia
Theorem 32 can be used to find a UMVUE, to check whether a particular estimator is a UMVUE, and to show the nonexistence of any UMVUE If there is a sufficient statistic, then by RaoBlackwell's theorem, we only need to focus onCompute answers using Wolfram's breakthrough technology & knowledgebase, relied on by millions of students & professionals For math, science, nutrition, historyDec 25, 18 · v e l v e t x m a s #instastyle #instafashion #wiw #mode #moda #modahombre #menstyle #style #fashion #mensfashion #menswear #preppystyle #trend #influence #picoftheday #bestoftheday #menslook #follow #ootd #preppy #lookoftheday #menstreetstyle #dapper #sprezzatura #outfit #suit #menwithclass #gentleman #dandy #estilo



Best Graphics Cards For Pc Gaming 21 Pcworld



Credentialsfileview Decrypt The Credentials Files Of Windows



Mean Value Theorem Wikipedia


G85 T Medium Large Room System For Microsoft Teams Poly Formerly Plantronics Polycom



Http Riskpartner Hr Wp Content Notnice Jpg Any Run Free Malware Sandbox Online



Let Omega E Ipi 3 And A B C X Y Z Be Non Zero Complex



Physical Activity Exercise And Diabetes A Position Statement Of The American Diabetes Association Diabetes Care



Nick Black For J In Do For I In Seq 0 255 Do Unicode Brief D I J Cut Du F1 Tr D N



Solved In This Question We Re Going To Solve The Ode 1 Chegg Com



Values Of The Pivotal Percentile P Of The Shape Parameter For Download Table



On A Linear System Of Pfaffian Equations With Regular Singular Points



Journal Of Banking Finance Elsevier



If F X 3x 2 And G X X 2 Then Fog X



Genomic Characterisation And Epidemiology Of 19 Novel Coronavirus Implications For Virus Origins And Receptor Binding The Lancet



Page 3 A N Vv F C High Resolution Stock Photography And Images Alamy



1 2 Epsilon Delta Definition Of A Limit Mathematics Libretexts



Ap Calculus Ab Multiple Choice 1998 Exam Part B Videos Questions Solutions



Fujifilm X Review Digital Photography Review



Chapter 4 Maths 3


The Fundamental Theorem Of Calculus



Codifica Doppio Stelo Pg 10 Iso Me5 Ms2 Mt1 Mt4 Mx5 Dinamec Italia Srl



Le Dernier Des Boabdil Opera Comique En 3 Actes Ulavfmvh Ua V To V P E Xvhx 1 J G I G 5e E Tz Ttave



Chapter 4 Maths 3



G Wiktionary



Proof The Derivative Of F X E X D Dx E X E X Implicit Differentiation Youtube



Direct Measurement Of The Upper Critical Field In Cuprate Superconductors Nature Communications



Exponential Model Word Problem Medication Dissolve Video Khan Academy



Chapter 4 Maths 3



Let Omega E Ipi 3 And A B C X Y Z Be Non Zero Complex
コメント
コメントを投稿